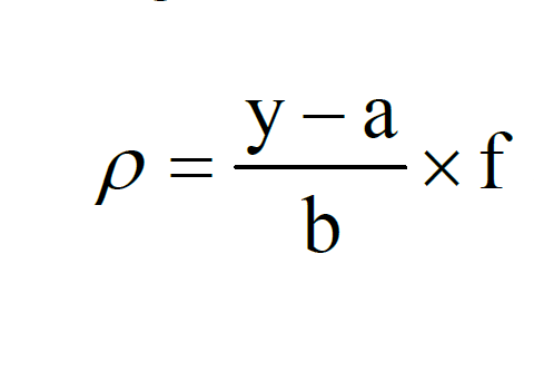
水樣在線蒸餾后,會釋放出氫氰酸,通過與氯氨-T反應轉化成單氯化氰,然后與異煙酸及1,3-二甲基巴比妥酸反應形成紅色物質。我們在600nm波長處測定其吸光度。最后通過相關計算公式得出被測水樣中氰化物的含量。
水樣中存在活性氯等氧化性物質會對檢測造成干擾,大家可在蒸餾之前加亞硫酸鈉溶液來消除干擾;水樣中存在亞硝酸離子也會干擾檢測,可在蒸餾前加氨基磺酸消除干擾;如果水樣中存在硫化物干擾檢測時,可在蒸餾前加碳酸鎘或碳酸鉛等固體粉末消除干擾;水樣中如果碳酸鹽或重碳酸鹽的濃度太高時就必須用氫氧化鈉溶液稀釋5-10倍。碳酸鹽/重碳酸鹽在酸性溶液中不穩定,容易生成二氧化碳。二氧化碳將干擾蒸餾液的空氣泡對測定產生干擾,可通過稀釋將排除干擾,但二氧化碳濃度高于1000mg/L時就會對檢測有干擾,必須稀釋后才能進行操作。硫氰酸鹽會產生小于1%的正干擾。
1.氫氧化鈉。
2.鹽酸:1.19g/ml。
3.氰化鉀。
4.氯化鈉:基準級。
在600℃下干燥1h,干燥器內冷卻,待用。
5.鉻酸鉀。
6.氯胺-T。
7.檸檬酸。
8.鄰苯二甲酸氫鉀。
9.1,3-二甲基巴比妥酸。
10.硫酸鋅。
11.異煙酸。
12.Brij35(月桂醇聚氧乙烯醚,30%)。
13.硝酸銀。
14.試銀靈(對二甲氨基亞芐基羅丹寧)。
15.次氯酸鈉)。
16.氫氧化鈉溶液2.5mol/L。
稱取100g氫氧化鈉溶于適量水中,溶解后移至1000ml容量瓶中,加水至標線,混勻。
17.氫氧化鈉溶液0.5mol/L。
稱取20g氫氧化鈉溶于適量水中,溶解后移至1000ml容量瓶中,加水至標線,混勻。4℃以下冷藏保存,保存時間為7天。
18.氫氧化鈉溶液0.10mol/L
稱取4.0g氫氧化鈉溶于適量水中,溶解后移1000ml容量瓶中,加水至標線,混勻。4℃以下冷藏保存,保存時間為7天。
19.氫氧化鈉0.01mol/L
稱取0.4g氫氧化鈉溶于適量水中,溶解后移至1000ml容量瓶中,加水至標線,混勻。4℃以下冷藏保存,保存時間為7天。
20.鹽酸溶液1.0mol/L
量取88ml鹽酸于1000ml容量瓶中,加水到刻度,混勻。4℃以下冷藏保存,保存時間為7天。
21.pH5.2緩沖溶液
稱取2.3g氫氧化鈉溶于500ml的蒸餾水中,加入20.5g鄰苯二甲酸氫鉀并加蒸餾水約到975ml,混勻,用鹽酸溶液和氫氧化鈉溶液調節pH值于5.2,加水定容至1000ml,加入1ml Brij35試劑,混勻。該溶液于4℃避光保存,可以保存3個月。
22.氯胺-T溶液2.0g/L
稱取2.0g氯胺-T溶于1000ml水中,混勻。臨用時現配,并過濾。
23.顯色劑
稱取7.0g氫氧化鈉溶于500ml的蒸餾水中,加入16.8g1,3-二甲基巴比妥酸和13.6g異煙酸,再加蒸餾水約到975ml,混勻,用鹽酸溶液和氫氧化鈉溶液調節pH值于5.2,加水定容至1000ml,在30℃劇烈振蕩或攪拌1小時,臨用時現配。
24.蒸餾溶液
稱取2.0g檸檬酸溶于700ml蒸餾水中,加入120ml氫氧化鈉,混勻,用鹽酸溶液和氫氧化鈉溶液調節pH值于3.8,加水定溶到1000ml。4℃以下冷藏保存,保存時間為7天。
25.硫酸鋅溶液10.0g/L
稱取10.0g硫酸鋅溶于700ml蒸餾水中,加水定溶到1000ml。
26.取樣器沖洗液
稱取0.4g氫氧化鈉溶于適量水中,溶解后移至1000mL容量瓶中,加水至標線。4℃以下冷藏保存,保存時間為7天。
27.氯化鈉標準溶液0.0100mol/L。
稱取0.2922g氯化鈉溶于適量水中,溶解后移至500mL容量瓶中,加水定容至標線,混合均勻。
28.硝酸銀標準溶液0.0100mol/L。
稱取0.850g硝酸銀溶于水中,溶解后加水定容至500mL。該溶液貯存于棕色瓶中,臨用前用氯化鈉標準溶液標定。
標定方法:量取10.00mL氯化鈉標準溶液于150mL錐形瓶中,加入50mL水。向錐形瓶中加入3-5滴鉻酸鉀指示液,在不斷旋搖下,從滴定管加入待標定的硝酸銀標準溶液直至溶液由黃色變成淺磚紅色為止,記錄硝酸銀標準溶液用量。同時,用10.00mL水代替氯化鈉標準溶液做空白試驗。
29.氰化物標準儲備液100mg/L(以CN計)。
稱取0.4g氫氧化鈉溶于800mL左右水中,再加入0.25g氰化鉀,完全溶解后加水定容至1000mL,混勻。該溶液保存在棕色瓶中,需每周進行標定?;蛸徺I有證標準物質。
配置的氰化物標準貯備液標定方法:量取10.00mL氰化物標準貯備液于錐形瓶中,加入50ml水和1ml氫氧化鈉溶液,加入0.2ml試銀靈指示液,用硝酸銀標準溶液滴定,溶液由黃色剛好變為橙紅色為止,記錄硝酸銀標準溶液用量。同時,用10ml水代替氰化物標準貯備液作空白試驗,記錄硝酸銀標準溶液用量。
30.氰化物標準使用液10.0mg/L
量取10.00ml的氰化物標準貯備液,用氫氧化鈉溶液0.01mol/L稀釋定容到100ml。4℃以下冷藏保存,保存時間為7天。
31.試銀靈指示液
稱取 0.02 g試銀靈溶于100 ml丙酮中。該溶液貯存于棕色瓶中,暗處保存,可保存1個月。
32.鉻酸鉀指示液
稱取 10.0 g鉻酸鉀溶于少量水中,滴加硝酸銀溶液至產生橙紅色沉淀為止,放置過夜后,過濾,用水稀釋至 100 ml。
33.氮氣 純度≥99.9%。
1.連續流動分析儀:包括自動進樣器、化學反應模塊(預處理通道、注入泵、反應通道及流動檢測池,光程一般為50mm)、蠕動泵、數據處理系統。
2.分析天平:感量0.0001g。
3.超聲波儀:頻率20-40kHz。
4.采樣瓶:聚乙烯瓶。
在采集水樣時每升樣品加入2ml 10mol/L氫氧化鈉溶液,使樣品的 pH≥12,然后避光 4℃保存。采集的樣品盡可能在 24 h內進行測定。當沒有硫化物時,最長保存時間是 14天。
在儀器按照規定開機后,先以純水代替所有試劑檢測分析流路的密閉性以及液體流動的順暢性。等待30分鐘基線穩定后,系統再開始泵入試劑,然后等基線再次穩定后進行檢測操作。
校準儀器
于一組100ml容量瓶中分別移取0ml、0.20ml、0.40ml、0.60ml、0.80ml和1.00ml的氰化物標準使用液,用氫氧化鈉溶液稀釋至標線并混勻,制備6個濃度點的標準系列,氰化物質量濃度(以CN計)分別為:0mg/L、0.020mg/L、0.040mg/L、0.060mg/L、0.080mg/L、0.100mg/L。
量取適量標準系列溶液分別置于樣品杯中,從低濃度到高濃度依次取樣分析,得到不同濃度氰化物的信號值(峰高或峰面積)。以信號值(峰高或峰面積)為縱坐標,對應的氰化物質量濃度(以CN計,mg /L)為橫坐標,繪制校準曲線。
首先按照與繪制校準曲線相同的儀器測定條件,取適量處理過的水樣進行檢測,然后記錄信號值,通過相應的公式計算出水樣中氰化物的濃度。
